Files
btc_price_anany/output/entropy/entropy_vs_scale.png
riba2534 24d14a0b44 feat: 添加8个多尺度分析模块并完善研究报告
新增分析模块:
- microstructure: 市场微观结构分析 (Roll价差, VPIN, Kyle's Lambda)
- intraday_patterns: 日内模式分析 (U型曲线, 三时区对比)
- scaling_laws: 统计标度律 (15尺度波动率标度, R²=0.9996)
- multi_scale_vol: 多尺度已实现波动率 (HAR-RV模型)
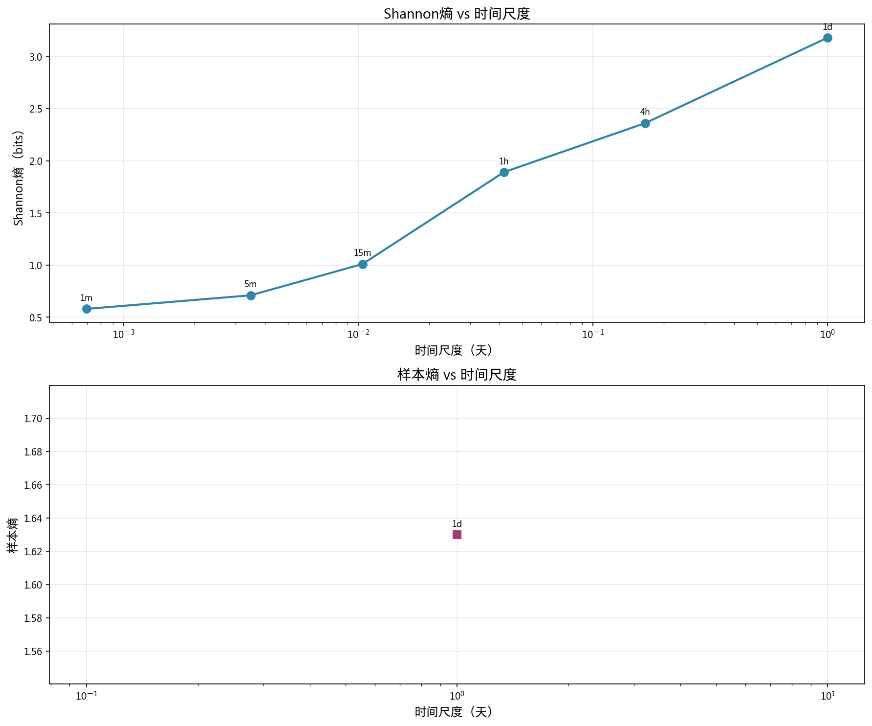
- entropy_analysis: 信息熵分析
- extreme_value: 极端值与尾部风险 (GEV/GPD, VaR回测)
- cross_timeframe: 跨时间尺度关联分析
- momentum_reversion: 动量与均值回归检验

现有模块增强:
- hurst_analysis: 扩展至15个时间尺度,新增Hurst vs log(Δt)标度图
- fft_analysis: 扩展至15个粒度,支持瀑布图
- returns/acf/volatility/patterns/anomaly/fractal: 多尺度增强

研究报告更新:
- 新增第16章: 基于全量数据的深度规律挖掘 (15尺度综合)
- 完善第17章: 价格推演添加实际案例 (2020-2021牛市, 2022熊市等)
- 新增16.10节: 可监控的实证指标与预警信号
- 添加VPIN/波动率/Hurst等指标的实时监控阈值和案例

数据覆盖: 全部15个K线粒度 (1m~1mo), 440万条记录
关键发现: Hurst随尺度单调递增 (1m:0.53→1mo:0.72), 极端风险不对称

Co-Authored-By: Claude Opus 4.5 <noreply@anthropic.com>
2026-02-03 16:35:08 +08:00

80 KiB
1784x1484px

/riba2534/btc_price_anany/raw/commit/24d14a0b44205fa1cf3fa2ed9250cf0b14dd8556/output/entropy/entropy_vs_scale.png